赞
文 | 谢芳 崔妍(实习生)
6月13日,在深圳福田某小区,一整块玻璃窗突然从20层掉落,砸中了一名路过的5岁男童。经检查,受伤男童头部受伤,双腿骨折,腹部肿胀。16日,男童因抢救无效死亡。

(图为事故现场)
据了解,半个多月前,事发小区就曾发生过一起高空坠物事件,一扇玻璃窗从8楼坠落,所幸没有伤及行人,但并没有引起足够的重视,直到此次事件发生。
骤然发生的悲剧,摧毁了一个家庭,同时将高空坠物的危害推到大众面前。
6月19日,江苏南京,一10岁左右女孩在经过小区通道时,被高空掉落的物体砸中,随后被送往医院救治。
同一天的江苏江阴,一名小学男生和姐姐在去往学校的路上,被一根坠落的钢管砸中头部,被紧急送医。经检查,男生头部右颞伤口约7~8cm,头皮撕脱、出血,幸好现在病情已经稳定,没有生命危险。
高空坠物到底有多可怕?事后如何追责?有无可避免的方法?半年前库叔曾刊文讨论,近期相关事故又频繁发生,故旧文重发,希望引起库友们的重视。
1
“悬在城市上空的痛”
自高楼大厦平地而起后,
高空坠物事件就屡有发生,
成为“悬在城市上空的痛”。
这种痛不仅体现在损害车辆等财物上,
还体现在威胁生命安全上。

2018年7月,
合肥某小区频繁发生高空坠物现象:
22日,一瓶辣椒酱被扔下,
砸了一辆大众;
25日,一个空酒瓶被扔下,
砸烂了一辆凯迪拉克的挡风玻璃;
29日,一个至少5斤重的南瓜被扔下,
砸凹了一辆车的车顶。

小区居民们忍无可忍报了警,
没想到,就在警察调查现场时,
一口铁锅又被扔了下来,
砸坏了停在楼下的车。
无奈之下,物业为小区保洁人员配置了钢盔,
保洁阿姨表示:
“不戴头盔,天天往下扔,
把老命砸没了,害怕!”

值得庆幸的是,
这些高空坠物都没有造成人员伤亡,
但在高空坠物面前,
并不是所有人都会这么“幸运”。
2011年7月8日,浙江杭州,
19岁的朱女士从某大厦下面路过时,
被一块脱落的幕墙玻璃砸中,
导致其左小腿血管、神经、肌肉、肌腱、骨头
全部断裂,被迫截肢。
2012年6月16日,
湖北武汉的谢先生带着5个月大的女儿
到小区附近的自助银行取钱。
没想到取完钱出门的时候,
高空忽然坠落一块石板,
谢先生本能地护住怀中的幼女,
自己则因伤势过重身亡,
年仅35岁。
2016年11月11日,
四川遂宁一居民楼上掉落铁球,
砸到楼下人行道上一婴儿车,
导致不满一岁的女婴死亡。
2018年3月,一名三个月大的女婴
被从24楼扔下的苹果砸中,
造成重度颅脑损伤、创伤性休克。

(图为诊断证明 图源:《新京报》旗下微信公众号“重案组37号”)
2018年8月16日,
湖南湘潭一名10岁男孩在回家路上
被5楼掉落的花盆砸中头部,
经过9个多小时的抢救也没有挽回生命。

(图为坠落花盆当时的位置)
2018年12月21日,
合肥一名两岁的女孩与妈妈散步时,
被楼上扔下的烟头烫伤脖子。

类似案件不胜枚举,
库叔对“高空坠物”关键词进行搜索,
能找到诸多血淋淋的新闻。

高空坠物的杀伤力为何这么大?
2
一枚鸡蛋也能“杀人”
先来看两个实验,
把一串钥匙狠狠砸向一块8毫米厚的玻璃板,
玻璃板毫发无伤。
但是将钥匙从30米的高空抛下,
整块玻璃板瞬间被击得粉碎。

即便是钢筋铁骨的汽车,
面对从30米高空落下的、
装满水的小气球,
也能遭受重创,车顶凹陷。

不起眼的东西从高空坠下,
为何瞬间就成了“杀伤利器”?
库叔试着用物理知识来解释:
物体从高处坠落时,
重力势能会转换成动能,
即mgh=1/2mv^2
(m是质量,g是重力加速度,h是距地面高度,v是速度)。
由以上公式可知,
物体的位置h越高,速度v就越大;
再看动量定理mv=Ft
(F是物体降落到某物上的力,t是接触时间)
也就是运动物体的作用力有多大。
由以上公式可知,
物体质量不变,
当速度v很大时,接触时间t越短受力越大。
综上可以得出,
物体所处高度越高,速度就大,
速度越大,与之接触的事物受力越大。

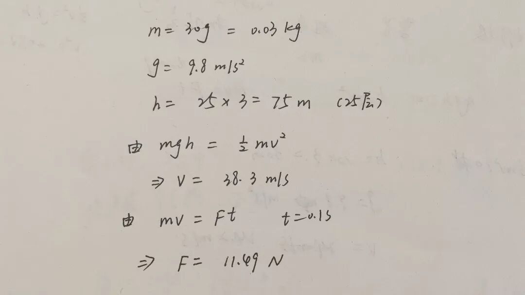
具体情况,让我们来看一组数据:
假设某小区层高3米,
物品接触地面到速度变为0的时间为0.1秒。
一个70克的香蕉皮从10楼自由落下,
冲击力有16.94牛顿,
换算成重量约1.73公斤,
大概是原重量的25倍。
以此类推,
一个30克的鸡蛋从25楼自由落下,
冲击力约为11.49牛顿,
换算成重量为1.17公斤。

(图为库叔对30克鸡蛋从25层楼抛下时产生的冲击力的计算)
这与央视新闻高空坠物杀伤力测试的结果也是吻合的,
一枚30克的鸡蛋
从4楼抛下,会把人头顶砸出个肿包,
从18楼抛下,会砸破人的头骨,
从25楼抛下,则可能导致人当场死亡。
3
三起惨剧谁来负责
那么,一旦出现高空坠物伤人事件,
谁应为受伤者负责?
2010年之前
对于无法找到明确“凶手”的高空坠物伤人案件,
我国有1986年出台的《民法通则》和
2004年出台的《最高人民法院
〈关于审理人身损害赔偿案件适用法律若干问题的解释〉》
做判决依据。
不过这两者均采用“过错推定”原则,
实行举证倒置
——被告需“自证清白”,
否则就要承担责任,
不过该原则在具体应用中存在很大差异。

比如以下这三个真实的案例。
一个是“重庆烟灰缸案”:
2000年5月11日凌晨,
重庆的郝先生在家附近
被楼上掉落的3斤重烟灰缸砸中,
当场昏迷,
在经过39小时抢救、昏迷70多天、
花费14余万医药费后才脱离生命危险,
但留下了严重的后遗症,
基本丧失了生活自理能力。
这一事件经公安机关介入侦查后,
未能查明具体加害者。
郝先生在休养一年后,
将可能丢烟灰缸的24家住户
及开发商告上法庭,
要求赔偿医药费、
精神损失费等共计17万余元。
一审法院驳回郝先生对于开发商的诉讼请求,
判决24户居民中的22户各赔偿8101.5元,
共计17.8万余元,
二审法院维持原判。
该案件也成为全国首例高空无主坠物连坐赔偿案。

(图为发生烟灰缸砸人事件的居民楼 图源:《重庆晨报》)
而与“重庆烟灰缸案”发生时间相距不远的另一个案件,
则有全然不同的判决结果。
那就是“济南菜板案”:
事情发生于2001年6月的山东济南,
孟老太在进入自家居民楼楼道入口前与邻居说话,
被从楼上坠落的一块菜板砸中头部,
后经抢救无效死亡。
济南市公安局市中分局
以不符合公安部刑事立案标准为由决定不予立案。
随后,死者亲属将菜板坠落楼层的
2层以上15户居民告上法庭,
要求他们共同赔偿
医药费、丧葬费等各项费用共计156740.40元。
一审法院认为无法确定菜板所有人,
遂裁定驳回原告起诉。
原告上诉后,二审法院仍就裁定驳回,
经申诉,山东省高级人民法院提审,
经再审后仍驳回上诉,
维持一审法院裁定。
最终,受害者家属独自承受了
情感与物质的双重打击。
最后一个案例是“深圳玻璃案”:
2006年5月31日下午,
深圳南山区4年级的小学生小宇在回家路上
被好来居大厦一块从天而降的玻璃砸到头部死亡。
与“重庆烟灰缸案”一样,
当地警方成立专案组调查也没找到凶手。
于是,小宇的父母将涉案大厦2楼以上的73户业主,
以及负责大厦管理的物业公司告上法庭,
提出76万多元的民事赔偿。
2008年3月18日,
南山区人民法院作出一审判决:
可以确定造成受害人死亡的玻璃是出自好来居楼上,本案属于建筑物或者其他设施以及建筑物上的搁置物、悬挂物坠落造成他人损害的案件,应由好来居的物业管理公司对小宇父母的损失承担30%的赔偿责任,共计22.9万余元。其他业主不承担责任。
小宇父母和物业都不服一审判决,
向深圳市中级法院提出上诉。
2010年6月10日,
深圳市中级人民法院作出终审判决:
撤销南山法院的一审判决,
由好来居大厦北侧的73户业主每户补偿4000元,
总计29.6万元。
物业公司不承担责任。
两次判决,结果截然相反。

(图为事发两年后的好来居大厦 图源:《南方都市报》陈以怀)
可以看出,由于相关法律的不健全,
各地对于高空坠物伤人的无主案件
判决各不相同,
出现同案不同判,
不同法院意见对立,
上级法院和下级法院意见对立等现象。
4
受害者维权艰难
基于以上种种,
《侵权责任法》于2010年7月1日开始实施,
其中的第87条明确规定:
建筑物中抛掷物品或者从建筑物上坠落的物品造成他人损害,难以确定具体侵权人的,除能够证明自己不是侵权人的外,由可能加害的建筑物使用人给予补偿。
该条款也被许多人简称为
“高空坠物连坐”条款,
其中“连坐”一词意味深长,
毕竟在惩戒的群体中,
除了真正的抛物人,
剩下的绝大部分人都是无辜的,
但是,我们不能忽视“高空坠物连坐”条款发挥的
社会救助功能及预防功能。
库叔在这里引述“成都水杯案”中
法院的部分判决表述:
“抛掷物致人损害的纠纷中,建筑物使用人不是实际侵权人,法律之所以规定在难以确定具体侵权人的情形下,将板子打在可能加害的建筑物使用人身上,主要是出于对受害人进行救济的考虑;
另一方面,是督促建筑物使用人在日常生活中提高警惕,针对存在的风险防微杜渐,履行相应的保管、维护和注意义务”。
【注:2011年8月,
27岁的陈涛被成都绵阳商厦掉下的杯子砸伤,
造成创伤性癫痫等严重后遗症,
医疗费用欠下十几万元。
陈涛起诉整栋商厦138名业主,
最终法院判124家被告各赔陈涛1230元,
共152520元,
是为“成都水杯案”。】

(图为受伤的陈涛 图源:腾讯新闻)
但是,需要注意的是,
案件的判决,
并不代表受害者得到了救助。
上文提到的“重庆烟灰缸案”的17.8万赔偿,
在2001年就生效了,
但因为执行困难大,
没多久就被搁置了。
在此后的12年间,郝先生只收到
3名被告不到2万元的赔偿,
无奈之下,他在2013年提请恢复执行。
“成都水杯案”中的陈涛也遇到此类情况,
直到判决生效2年后的2016年10月,
他仍有5万多的赔偿金没有拿到。
而近两年备受关注的“广州黄狗砸人”事件,
则依旧停留在审理阶段。
2018年4月来广州打工的湖北女子张秀美
被一条从天而降的黄狗砸伤,
造成颈椎多发骨折、颈髓损伤伴截瘫等,
后半生要在病床上度过。
现在的她体重从100斤下降到60斤,
整个身体只有头部能活动,
不能说话,
关节变了形,没有痛感。

(图为张秀美的儿子在给她按摩 图源:澎湃新闻袁璐)
因为砸人的黄狗是可以自主移动的活物,
且早已跑得无影无踪,
责任人的认定也成为本案最大的难点。
当然,也有主动承担责任的人。
2019年3月1日,
南宁的一名6岁男孩在楼下玩耍时,
被楼上坠落的竹竿砸中昏迷。
同日,扔竹竿的男孩的妈妈上门道歉,
并与丈夫一起去医院看望受伤男孩,
还凑了4万元的赔偿款交给对方父母,
并表示一定承担责任,
目前受伤男孩已经清醒过来,
正在接受进一步治疗。
不过,在近百件高空坠物伤人事件中,
库叔只看到这一例自发承担责任的,
绝大多数案件都找不到抛物者,
受害者最终只能诉诸法律。
然而,
即便“高空坠物连坐”条款
试图发挥社会救助作用,
在实际执行过程中,
受害者的维权依旧是艰难的。
5
如何防范?
那么,应该如何
减少、预防高空坠物伤人事件的发生?
先看看其他国家和地区都是怎么做的。
*新加坡
新加坡法律对高空掷物行为有明确法律认定,
高楼抛物肇事者不仅要坐牢、罚款,
根据情节的轻重,
其住宅还可能按原来的售房价格或建屋局规定的价格
被新加坡国家建屋局强行收购。
*日本
日本高楼林立,人口密度高,
人们从小就被教育严禁高空抛物,
所以人为高空抛物致人伤害或死亡的事件极少。
日本民法规定,
有关建筑物的附属物
如玻璃等(非人为故意)落下致人伤害或死亡,
建筑物占有者对被害人承担损害赔偿责任。

(图为日本东京一角 图源:视觉中国)
*美国
美国一些州的社区设有类似意外事故基金,
一旦发生高空坠物难确定责任人等事件时,
受害人可直接通过物业索要赔偿。
*中国香港
我国香港专门组成了侦查高空抛物特别队,
购买先进的数码设备,
不分昼夜监视高楼,
看哪个位置掉东西了,
就会拍摄下来报警。
香港的法制比较严格,
就算高空抛物没有伤到人也要予以刑事处罚。
香港执业律师陆伟雄就表示,
香港法例第228章《简易程序治罪条例》规定,如有人自建筑物掉下任何东西,或容许任何东西自建筑物坠下,以致对在公众地方之内或附近的人造成危险或损伤者,则掉下该东西或容许该东西坠下的人,即属犯罪,可处罚款10,000港元及监禁6个月。
事实上,为减少此类事件发生,
我们做出过许多努力。
2009年,中国建筑标准设计研究院出版发行的
《全国民用建筑工程设计技术措施》明确提出:
高层建筑不应采用外平开窗,而已经采用外平开窗或推拉窗的,应有加强牢固窗扇,防止脱落的措施。
《北京市住宅建筑门窗应用技术规范》也规定:
建筑外窗应为内平开下悬开启形式,高层及超过100米高度的住宅建筑严禁设计或采用外平开窗。采用推拉门窗时,窗扇必须有防脱落措施。
房地产开发商若能遵循这些规定,
肯定能减少高空坠物的隐患。

对于我们个人来说,
定期检查自家窗户、空调支架等,
如有松动及时加固;
不在沿街阳台摆放悬挂易掉落物品;
发现有高空抛物的行为要及时制止;
做好孩子的安全教育工作等都是必要的。
要知道,
保护他人,就是保护我们自己。
参考资料:
1.内地女子赴香港购物 被酒店玻璃窗砸中不治身亡|魏雪巍,海外网,2019.1.21
2.飞来横祸!三个月女婴惨被24楼扔下的苹果砸成重伤|赵凯迪,新京报,2018.3.21
2.天降烟头烫伤合肥2岁女童,母亲挨户查找无人承认|李萌,安徽商报,2018.12.25
3.高空坠物案频现“连坐”担责 官司赢了获赔难|杨凡,北京青年报,2016.12.27
4.深圳好来居高空抛物夺人命案 物业判赔近23万|陈以怀,南方都市报,2008.3.20
5.千万富翁被天降烟灰缸砸成弱智 赔偿12年未执行|范永松,重庆晨报,2014.5.28
6.高空坠物引发命案,全楼“连坐赔偿”公平吗?|澎湃新闻,2017.9.1
7.“高空坠物”究竟怎么管?|腾讯大成网,2014.11
8.一桩凶手消失的高空坠物致残案|袁璐、侯晨晨、王楠,澎湃新闻,2019.1.23
9.高空坠物“连坐”担责不合理|腾讯新闻·今日话题,2014.6.20
10.南宁一6岁男童被竹竿砸至昏迷 肇事住户主动担责|何定坚,南国早报客户端,2019.3.5
11.2018年4月28日深圳卫视栏目《第一现场》
12.2014年8月20日CCTV-13《朝闻天下》
本文中图片均来自网络公开渠道,不能识别其来源,如有版权争议,请联系公号方。
总监制:苏会志
监制:夏宇
责编:戴丽丽 李逸博
编务:谢芳
赞
赞




