赞
从0到1,从1到N的一路狂奔中,外部环境就像土壤。
拼命长根,就能够到足够多的营养。活水来时,机会就会汩汩而至。
可是,如果没有活水,如果土壤不肥沃,应该怎么办?
或许,看一看大豆。
他们和细菌共生固氮,合成肥料。除了自给自足,还能盈余,反哺土壤。
(本文选自进化岛日常分享)
今天,我们当中不少人在留恋2019年。
特别是跨年夜。当我们满怀欣喜的迎接21世纪第二个10年,发现等来的是突如其来、毫无征兆的“危机”。新冠病毒。俄乌冲突。
太多的魔幻,太多的不确定。
之前那个我们熟悉的世界不见了。
但是,先别急着叹气。我们看看历史,就会发现其实,危机它一直都在。
19世纪之前,生产力还没有跟上,所以,一旦某个地方人多了起来。资源不够分,冲突就会爆发。
用某种方式,消灭过剩的人口,来达到平衡。动乱、饥荒、流行病、或者是战争。
这就是马尔萨斯陷阱。
好在,工业革命后,我们的生产力迎来了大爆炸。可是随之而来的是,资本过剩、泡沫破裂,导致的大萧条。
但是但是,你发现没有,伴随着大萧条出现的是,现代经济学的诞生。凯恩斯主义经济学被提出。并以此为原点,出现了很多延续至今的经济学流派。所谓“大萧条是经济学的圣杯”。
危机不是万劫不复。如果说,危机意味着某种意义上的结束,那么结束必然引出新的开始。
1825年,普希金被流放到南俄敖德萨后,在幽闭期间。他写了一首诗。
一切都是瞬息,一切都将会过去。
而那过去了的,就会成为亲切的怀恋。
这就是我们熟知的,《假如生活欺骗了你》。危机是个常客,它不请自来,但也是个急性子,匆匆而走。
就像短暂的旱季里,土地濒于贫瘠,水流几近干涸。我们相信下一次雨季,会再来。土壤还会再肥沃。
可是,现在你是否愿意练就,自制肥料的办法。
— 2 —
我来和你讲个故事。
2001年10月23日,苹果公司发布了第一款iPod。
当时,美国正在经历一场经济衰退,而苹果也同样身陷漩涡。
Mac的销量下滑将近40%,公司总收入下降了33%。
即便如此,他们看到了iPod团队的创新能力,还是在原来的基础上,多投入了一大笔研发费用。
不到12个月,产品问世。
后来的故事我们都知道,2002年,它的销售收入达到了1.43亿美元。
2004年,iTunes的出现,让iPod收入一下子跃升到13亿美元。
到了2005年,iPod已经成为了苹果收入最高的产品。
颠覆式的创新,永远是道难题。危机之下,更是奢侈。
更多时候,我们依然疲于赶路。
5月,北大企业大数据研究中心发布的《中国小微经营者调查2022年第一季度报告》显示,
不论营业收入、现金流维持时长还是利润率,这一季度,小微企业的表现都有所下滑,甚至是到了步履维艰的困境中。
有四成的经营者现金流仅能维持不到一个月。
经营成本高、市场需求不足、还有突如其来的疫情影响,是压在小微企业身上的三座山。
如何不被山压垮?甚至是移走身上的大山?
之前进化岛有一位同学提问,
当下大环境面临变革,又加之疫情的困扰。我们这些小公司,应该怎么办?如何躲过一场危机?
首先,得快速反应,保命要紧。
在自己的公司被送进ICU抢救之前,先看看现金流量表,做一次盘点。有多少现金存量,账上现金够吗?有多少活期存款,有多少可以马上拿出来急用的短期投资。有多少现金流量,未来你能收到多少钱,需要花出去多少钱?应收账款是多少,应付账款是多少。
算算现在的钱,够维持你现在的情况多久。尽量要备上足够你撑3-6个月的钱。保住命。
再看看自己的客户,怎么保住。这也关乎企业的性命。尤其是关键客户。很多企业80%的营业额,都来自这20%的客户。
把对你贡献大的、区域上安全的、稳定的长期的客户筛选出来。他们是用来救命的。想尽办法获得他们的信任,和他们共渡难关。
咬咬牙,熬下来。然后,做好计划。看看公司的治理,是不是到位。组织的权责利,有没有设计好。价值观,有没有维护好。做好该做的事情。
然后呢?
有的人会说,保住命就不错了。走一步看一步吧。
还有的人会说,我要想办法“重塑企业”。虽然现状再难,也得想想未来。低头赶路的同时,抬头看看天。
确实,遇到困境,逃跑、战斗,是我们的本能。
可是,战斗不是在敌人来时,才打响的。
疫情之下,我们该怎么办?
你应该做的,是在疫情还没有开始的时候,就问如果疫情反复了怎么办。
因为,当疫情真正到来时。
我们只会盯着敌人,见招拆招,想对策应对。视野被缩小,只聚焦在了眼前的一亩三分田。
我的公司现在活得不错,账上钱还够,就满足了。
我把公司治理好了,大家都在朝着目标努力,就满足了。
你永远只在抵御危机。永远是被动的。
与其问,我们该怎么办?
不如问,我们可以做什么?
同样的问题,换一个语气,就会有新的思路。不但有“向死而生”的态度,还要有“做白日梦”的勇气。
进化岛有一位同学提问,
对于一个创业者,究竟该践行哪一种价值观?
是靠复制别人的成功方式?还是坚持创新?
创新是在创造价值空间,而抄袭是在消灭它。
什么是价值空间?
打个比方。原来白炽灯的成本是10元。售价是11元。因为很多商家都在卖,利润率很低,只有9%左右。
后来有一个人发明了节能灯,成本升高了一些,变成15元。但是,他可以卖30元。利润率变成了83%。而且大家发现,节能灯寿命长,耗电少, 即使贵一点,也划得来。于是,都去买节能灯。
从9%的利润率,涨到83%的利润率。他通过发明新商品,多获得的74%的利润空间,就叫做价值空间。
一旦有了价值空间,就会有模仿者加入。也就是所谓的复制。抄袭。
把别人80%利润率,降到自己的60%,50%,30%,最后10%。泯然众人矣。
一个敏锐的抄袭者,善于主动寻找机会。哪里有钱赚,就往哪里冲。吸干价值空间后,快速撤出,找下一个。
所以,一次创新得来利润,只是短暂的。除非他们自挖护城河。
品牌、专利、成本优势、规模效应,等等。
不然,今天你能赚到的钱只是脆弱的,短暂的。
可是护城河,不是静态的,它也有生命周期。必须像竹子一样,不断创新,拼命长出新的竹节。
这听起来,好像需要超出常人的禀赋。
想象一下,假如你在写一本小说。
但是,在写主人公接下来来命运去向的时候,卡住了。
你会怎么做?
定坐在桌前,冥思苦想吗?我猜你不会这样。
大概率会翻看翻看海明威、托尔斯泰是怎么写小说的,想想以前的经历,找找身边的人,聊聊天。
村上春树在他的《我的职业是小说家》中写道,不能一味甘于被动,要主动出击。
走出自我桎梏,多看书,多聊天。就是“主动出击”,最经济、最有效的办法。
多看书,锻炼精神肌肉。如果发现看不懂的东西,不要恐惧,也不要拒绝。要拥抱这些陌生的知识。
然后,就像柏拉图笔下,那个带领人类走出洞穴的人一样。点亮你的认知版图。
而多见人,多聊天。你会发现,这件事,原来他这么想。那件事,原来她这么干。
这个时候,想象力,创造力,就会自然而然流淌出来。
毕加索曾经说过:“要想打破规则,先得学习规则。”
要想培养创造力,不能仅仅依赖灵感。首先要大量接触知识,信息,能学到的东西越多,越能够产生新想法。
与其一个人闷在书房里,不如和朋友来一场头脑风暴。
创造力,是在知识中堆出来的。
— 5 —
想要创新,自然不是一蹴而就的。一次不成功。不要紧。
结果惨淡不可怕,怕的是,希望破裂,就地臣服。
在统计学中,贝叶斯改进,就是对未来美好设想的信念。并且在一次次试错中,无限接近结果的过程。
我之前在进化岛中和大家分享过一个例子。
电商小组里,大家的目标是实现50%的转化率。到底能不能做到?怎么才能做到?
甲同学提了个建议,说要把封面换成国风的风格。他说,我们试了几次国风封面,发现转化率提高了很多。
主管一听,甲同学说的挺有道理,善于思考,孺子可教。但是,改成国风真的有效吗?
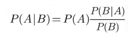
代入贝叶斯定理试试。

查过去的数据,发现在过去1000个订单中,有20次用了国风封面。所以,P(B)=2%。
理想的转化率应该是50%。过去达到这一基准的订单中,国风封面的占了四分之一,P(B|A)=25%。
而过往所有订单中,转化率高的概率大概有多少?只有误打误撞的50次。P(A)=5%。
如果换国风封面,果真大大提高了达到理想结果的概率(P(A|B))。从原来的5%,陡升到了62.5%。
那么,如果用极简风呢?用暖色系呢?用粗体字呢?
一点点调整,一点点尝试,终有一天,我们会接近100%的高转化率目标。
这就是贝叶斯定律做持续改进。
数据不好不丢人,丢人的是不愿意直面它。
创新没有捷径。不断迭代、不断摸爬滚打,就算一身尘土。也要保持希望。
最后的话
如果没有活水,如果土壤贫瘠。不妨看看大豆。
试试自制肥料。
最后,和你分享一段话,“面粉大王”、民族企业家荣德生在73岁的时候,回顾自己的创业历程:
回想四十五年前,筚路蓝缕,创业伊始,由小做大,以至今日,自思亦甚可笑。有此成就,殊出意外,深愧既非实学,又无财力,事业但凭诚心,稳步前进,虽屡遭困厄艰难,均想尽方法应付,终告化险为夷。
什么是真正的企业家?
虽屡遭困难,终化险为夷。
与你共勉。
赞
赞




