赞

这就是我的最直接感叹,果然,就是一个巨大的草台班子。
对全球消费者和贸易商来说,特朗普4月2日发动的贸易战,毫无疑问是一个巨大噩耗,真是疯了。但疯狂中有一些细节,却让人实在忍俊不住。
特朗普宣布“对等关税”后,美国财政部长贝森特出面,警告各国不要实施报复行为。
贝森特是这样说的:先冷静下来,深吸一口气,不要立刻进行报复。让我们看看事情会如何发展,因为如果你进行报复,局势就会升级。
什么意思?
我看到,有朋友就解释,这句话就像匪徒对一个女性说:我要强奸你,你乖乖躺着别动,让我先快活快活。你不妨先感受一下,不要着急反抗,因为如果你反抗,将会激发我的征服欲,动作会更粗暴!
话糙理不糙。
但现在的美国,不就是这样吗 ?
经济是最讲究数据的,看特朗普公布的关税税率,比如,指责中国对美征税是67%,他报复一半,再加征34%。
67%怎么算出来的?
我估计中国海关的人都懵了,中国进口关税,绝对、肯定、百分百,不会这么高啊!
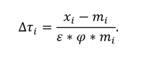
估计问的人实在太多,美国贸易代表办公室网站,最后放出了一个计算公式:

很复杂,但大家都别怕。美国人的数学,不会比我们更好。
最后,美方简化数据,φ、ε两个系数,分别给定为0.25和4,所以这俩数乘积是1,完全可以忽略掉。
因此,美国所谓的综合税率=美方出口额-美方进口额/美方进口额。
具体到中美,按照美国数据,2024年中国对美出口4389亿美元,美国逆差2954亿美元。2954/4389=67.3%。
就这么简单。
看欧盟,2024年欧盟对美出口6058亿美元,美国逆差2356亿美元,2358/6058=38.9%,跟特朗普数据一模一样。
特朗普的数学,真够可以的,简单,利落,管他三七二十一。
当年教过他经济学的老师,估计都哭晕在厕所里了,“今后任凭你怎的惹祸行凶,却不许说是我的徒弟!”
这还没有完。
在特朗普报复的名单中,人们发现,还有一个邻近南极洲的岛屿——赫德岛和麦克唐纳群岛。
特朗普下令,对该岛商品加征10%的关税。
但该岛有什么呢?
没有人,没有商品,只有拥挤的企鹅。

所以,在海外社交媒体上,各种各样的P图,岛上的企鹅都是一脸懵,他们实在想不明白,特朗普为什么要对它们加征关税,我们不卖身!
特朗普需要理由吗?
不需要!
看了一下,4月2日,因为他的关税政策,美国股市上演了疫情以来最惨烈的暴跌场景。
三大股指,
道琼斯指数,暴跌3.98%;
纳斯达克指数,暴跌5.97%;
标普500指数,暴跌4.84%。
跌得投资者目瞪口呆,跌得华尔街晕头转向。人们忽然又想起特朗普当年的一句名言:“如果道琼斯指数单日跌超1000点,那总统就应该装进大炮,以极快速度射向太阳!没有任何借口。”
当天,道琼斯指数跌了1679点,远超1000点,总统要射向太阳吗?
当然,特朗普可能忘了这句名言,或者说这句根本就不是他说的,他又有了新的口号。
一边股市在暴跌,一边特朗普在打气,他在社交媒体上称:“手术结束了!病人活了下来,正在康复。预测是,病人将远比以往任何时候都更强、更大、更好、更具韧性。”
搞得特朗普好像是一个外科大夫一样,那到底他是神医还是庸医呢?
最后,怎么看?
还是粗浅三点吧。
第一,这就是特朗普的谈判艺术。
特朗普还很得意,称:每个国家都在他征收关税后给他打电话。
“我们掌控一切。”特朗普说,他可以与那些“给我们带来好处”的国家,“达成协议”。
请注意:每个国家!
怎么可能?
当然,这就是特朗普的风格。夸张,极度夸张;讹诈,尽情讹诈。所以,他说的任何事情,我们都必须多打点折扣。
但有一点也是肯定的,特朗普很想谈,这就是他的“谈判艺术”,极限施压,然后有所恩惠,结果,赚得盆满钵满。
所以,什么税率?什么后果?什么契约精神什么经济规律?
他统统可以抛到一边。
至于盟友或非盟友?
妨碍特朗普赚钱的,统统是他的敌人。
但特朗普也有怕,他怕事情拖下去,怕通胀涨上来,怕股市连续暴跌,怕各国集体报复,怕美国被彻底孤立……
地主的家底再厚,也经不起这样折腾啊!
所以,一个唱红脸一个唱黑脸,美国财长发表了“你们要享受强奸”的类似言论。
第二,更考验世界的团结。
完全在意料之中,也有第一时间迅速跪下的。
英国就沾沾自喜,美国只对我征收了10%关税,你看看欧洲;以色列立刻躺平,对美关税立刻降到零,美国你认错人了;加拿大政客还在呼吁,别针对加拿大,问题是中国……
这就是特朗普要的效果。
但不是所有国家都会就范,毕竟,关税触动到了国家利益,别忘了,触动利益比触及灵魂还难。
我看到,至少法国总统马克龙已发出警告,欧洲不要各自为战,必须团结,“我清楚地知道会发生什么,最大的经济体可能会倾向于单打独斗。但这不是明智的做法。”
为什么?
特朗普就是想各个击破。
马克龙看穿了一点,说他现在最担忧的,就是欧洲内部分裂,“如果欧洲保持团结,制定统一、合理但坚决的应对措施……我们最终将实现共同目标:彻底取消这些关税。”
关键,欧盟能做到吗?

第三,我想起了一件往事。
想起了100多年前闭关锁国的中国,想起了当年老佛爷对西方列强宣战。
嗯,现在的情况,完全反了过来。中国越来越开放,美国越来越保守。结合最近的变动,有人就调侃:马督公百日维新结束,川佛爷向列强宣战!
还有一个小插曲,特朗普向全世界宣战,俄罗斯人找了又找,发现报复名单中,居然就没有俄罗斯。
以至于俄罗斯前总统梅德韦杰夫,在社交媒体上调侃说:“事实上,俄罗斯与美国和欧盟几乎没有任何贸易往来,几乎所有贸易都受到制裁。然而,我们的经济现在却增长了3%。我们要听从老子的建议,坐在河边,等待敌人的尸体漂过来。欧盟经济的腐尸。”
嗯,小梅看热闹不嫌事大的心态,我完全能理解。尤其是看美欧恶斗,俄罗斯很解气。
但老子?
中国老子什么时候说过这句话?
应该是孔子吧,应该是孔子那句话:“逝者如斯夫,不舍昼夜”。
到了外国人口里,就变成了“等待敌人的尸体飘过来”!
这都是谁翻译的?误人子弟,误人子弟啊!
赞
赞



