赞
前天凌晨三点,特朗普在白宫,签署了对所有国家的关税战政策。
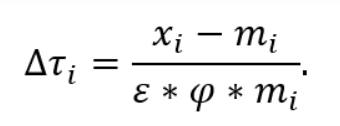
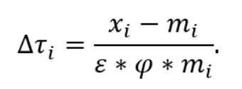
这个关税政策说复杂也复杂,说简单也简单。大概公式是这样的:

这种程度上与其说这是“对等关税”,不如说这是“不对等保护费”。因为这既不对等,也不关税。
02
我这两天看了很多的分析。
还有挺多人还真是挺“看好”特朗普的这一决定的。认为特朗普这样能够实现“三赢”。
一赢是,通过高关税收到的大量税款,可以弥补美国政府的财政赤字。
二赢是,那些顺差较大的国家为了不被下这么高的关税,加大从美国进口。
三赢是,各种跨国企业为了不被高关税限制,选择在美国加大投资。
一方面增加了美国财政收入,一方面促进了美国出口,一方面还提振了美国国内投资。
这可谓是赢麻了。
但是,结果真的会这么好吗?
03
美国历史上这并不是第一次这么做。
1929年10月美国股市崩盘后,经济陷入严重衰退,失业率抬头,企业倒闭潮蔓延。政府面临保护国内产业、挽救就业的巨大压力。
那个时候美国农产品过剩,价格暴跌,农民要求提高关税限制进口竞争。与此同时美国钢铁、纺织等传统工业为应对欧洲廉价商品冲击,推动贸易壁垒。
共和党主导的国会认为高关税能“保护美国就业”,由共和党参议员里德·斯姆特(犹他州)和众议员威利斯·霍利(俄勒冈州)共同发起。
总统赫伯特·胡佛(Herbert Hoover)虽起初犹豫,最终迫于1930年6月17日签署生效。
对2万多种进口商品加征关税,涵盖农产品(如糖、羊毛)和工业品(如纺织品、钢铁、化学品)。
平均关税税率增加了20%,部分商品税率甚至超过100%(如鞋类、农产品)。
04
那这样一个希望挽救美国经济的关税法案,最后结果如何呢?
在欧洲欧洲国家,英国、法国、德国、意大利等对美国商品加征报复性关税,并建立“帝国特惠制”(英联邦内部免税)。
其他国家如加拿大,对美国农产品加税,西班牙、澳大利亚等限制美国工业品进口。
而从1929-1933年,全球贸易额从360亿美元骤降至120亿美元,降幅约66%。与此同时美国出口锐减,美国出口额从54亿美元降至21亿美元,降幅61%,汽车、机械等行业受重创。
美国GDP在1929-1933年下降30%,失业率从1929年的3.2%飙升至1933年的25.1%。
当然,类似美国引发的经济危机一样。受影响最大还是原材料出口国,依赖出口的国家(如拉美、亚洲)陷入债务危机,引发全球性经济恶性循环。
经济危机让民族主义抬头,激化矛盾,德国、日本等转向激进政策(如扩军备战),间接助推二战爆发。
05
昨天晚上美国资本市场,就已经开始用脚投票。

如果关税政策真的是能够让美国没有损失,单纯赢麻。那么美国股市就不会交出这样一份答卷了。
更简单的说,如果这个做法真的有用,那为什么之前几十年美国不这样搞呢?
当然,我说这么多,并不是说“不要担心关税”。
事实上特朗普的这个关税新政,一定会在短期内,深刻的改变世界的贸易秩序,也会对于中国现行的出口造成冲击。
但是中期(3-5年)和长期(5-15年)看,对于中国而言却长期看不是坏事。
先说中期。
能让中国“最难受”的是,美国利用其全球的主导地位,拉拢盟友,围剿中国。
以割中国的肉,加自己补贴来喂饱他的小弟的方式,通过慢刀子放血的方式持续的减损中国的力量。
实际上过去这两年不管是韩日,还是越南墨西哥,又或者新加坡和中国台湾地区,是都是通过这种方式吸了大量中国的“财富”。
但是,现在美国开始向全世界宣战。这也就意味着,过去这些小弟们吃进去的,都要吐出来。中国所面临的产业外流和资金外流的压力就会陡然减小。
这些年,有些地方对美出口之所以增长背后其实都是东方某神秘大国的力量。美国的这种全面关税政策一出。这些真正“搭便车”的国家和地区,自然就会显出原形。
另外一方面,这些国家过去因为美国给的好处多,所以不管是在经济上还有政治上一直站边美国。但是当美国不再给出利益,而是索要回报的时候,其实就给中国重新制定游戏规则的机会。
再说长期。
长时间国家一直说要鼓励消费,提振内需,但中国的内需消费就是一直不是很能起来。
某种程度上,因为中国几十年年一直坚持的出口优先战略。
如果想要在全国全球市场上出口有竞争力,特别是在那些初级产品,低附加值产品有竞争力。
并不是一个“鼓励出口”,简简单单三个字就可以做到的,需要有许多的配套政策以及解决一系列限制外向型经济发展的问题。
这需要包括但不限于重点发展劳动密集型制造业的政策,知识产权保护的相关政策,外贸体制改革的问题,国有企业机制的问题,沿海工业“两头在外、大进大出”问题等等等等。
而如果说最为关键的一点,那一定是进一步压低国内的生产要素成本,包括但不限于土地成本,能源成本,环保成本当然也包括劳动力成本,以及和劳动力价格紧密相关的“粮食成本”。
但是我们一想就知道,一个持续压低生产要素成本的国家是无法成为真正意义上“全球消费大国”的。
而这一次,当美国掀起的全球贸易贸易保护主义开始抬头,我们为了对冲这种影响,我们为了提振国内的消费,一定会真正开始提升国内生产要素价格。
而喊了很多年的内需驱动,可能会真正变为现实。而内需驱动下的中国,一定是人民群众获得感一步增长的中国。
06
历史不会简单重复,却总在押韵。
1930年《斯姆特-霍利法案》的幽灵,如今披着"对等关税"的外衣重返人间。
当华盛顿的政客们挥舞关税大棒时,他们选择性遗忘的正是历史的铁律——贸易保护主义的潘多拉魔盒一旦开启,终将反噬始作俑者。
特朗普想象中的"三赢"幻梦,其实是三重绞索:
关税收入看似丰沛,却要以全球供应链断裂为代价;
强迫性进口平衡,实则是扼杀市场效率的自残;
资本回流的美梦,终将被制造业空心化的现实击碎。
正如1933年道琼斯指数在关税战阴云下暴跌89%,昨夜美股的血色狂泻已为这场闹剧写下注脚。
对中国而言,这场关税飓风恰似淬火之焰。当越南46%的关税墙竖起,墨西哥25%的汽车税落地,那些靠"拆墙脚"获利的投机者终将现形。
更深远的意义在于,这场危机倒逼出的内需革命。当万亿消费市场在"要素价格重估"中觉醒,当新质生产力在"卡脖子"领域破茧,一个不再依赖廉价劳动力、不再牺牲环境红利、真正以人民获得感为锚点的经济新范式,正在关税战的硝烟中悄然成型。
这或许印证着《易经》的智慧:
穷则变,变则通,通则久。
赞
赞



